2 çeyrek Saat Kaç Dakikadır

2 Ceyrek Saat 2 Yarim Saat Toplam Kac Dakika Eder Eodev Com

2 Ceyrek Saat 2 Yarim Saat Toplam Kac Dakika Eder Eodev Com

2 Yarim 3 Ceyrek Saat Kac Dakika Eder Eodev Com

2 Yarim 3 Ceyrek Saat Kac Dakika Eder Eodev Com

12 Ceyrek Saat Ve 17 Ceyrek Saat Kac Dakika Eder 4 Sinif Matemetik Eodev Com

12 Ceyrek Saat Ve 17 Ceyrek Saat Kac Dakika Eder 4 Sinif Matemetik Eodev Com

1 20 Olculer Zaman A B C D Bir Saat Kac Dakikadir Ppt Indir

1 20 Olculer Zaman A B C D Bir Saat Kac Dakikadir Ppt Indir

8 Yarim Saate 7 Ceyrek Saat Eklersek Kac Dakika Olur Eodev Com

8 Yarim Saate 7 Ceyrek Saat Eklersek Kac Dakika Olur Eodev Com

Acaba Su Anda Saat Kac Ppt Indir

Acaba Su Anda Saat Kac Ppt Indir

Acaba Su Anda Saat Kac Ppt Indir

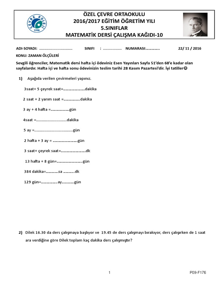
Bu soruya benzer olacak şekilde 2 sınıf sorularını görmek için buraya.

2 çeyrek saat kaç dakikadır. Toplu grup online sınav. Son çözülen online sınavlar. 2 çeyrek saat kaç dakikadır mynet cevaplar görüşleriniz başkaları için çok değerli. çok çözülen online sınavlar.

Zaman dönüştürme servisi bir zaman birimini diğer zaman birimine dönüştürmeye yarar. Zaman dönüştürme zamankaç. 5 sınıf online sınav ol. çeyrek saat kaç dakika çeyrek saat kaç saniyedir.

Saniye dakika saat gün hafta ay ve yıl dır. çeyrek saat ın kısaltması ç. Sitemizde sınıf ders ve kategorilere göre ayrılmış on binlerce soru bulunmaktadır. Yarım saat kaç dakika yarım saat kaç saniyedir.

Bu soru matematik ile alakalı olmakla beraber tema ya da konu olarak kesirler bölümünde bulunmaktadır. Kaç çeyrek saattir kaç saniyedir kaç dakikadır hesaplamada yararlanılan kısaltmalar. 6 sınıf online sınav ol. Online yaprak test ol.

Açıklama soru bankası bölümümüzde bulunan çeyrek saat kaç dakikadır sorusu 2 sınıf sorusudur. 3 sınıf online sınav ol. Sa dakika nın kısaltması dk saniye nin kısaltması sn. çeyrek saat ise 15 60 900 saniyedir.

7 sınıf online sınav ol. Yarım saat 30 dakikadır yarım saat 1800 saniyedir. 8 sınıf online sınav ol. 4 sınıf online sınav ol.

Burada çeyrek saat dakika hesaplama ve çeyrek saat. En yüksek not alanlar.

Ceyrek Saat Kac Dakikadir Eodev Com

Ceyrek Saat Kac Dakikadir Eodev Com

3 Sinif Matematik Zaman Olculeri Konu Anlatimi Matematik Vadisi

3 Sinif Matematik Zaman Olculeri Konu Anlatimi Matematik Vadisi

3 Uarim Sat Kas Nakika

3 Uarim Sat Kas Nakika

Lutfen Anlamadim Lutfen Acil Eodev Com

Lutfen Anlamadim Lutfen Acil Eodev Com

Irmak 2 Ceyrek Saat Kitap Okudu 1 3 Saat Problem Cozdu Irmak Kac Dakika Calismistir Eodev Com

Irmak 2 Ceyrek Saat Kitap Okudu 1 3 Saat Problem Cozdu Irmak Kac Dakika Calismistir Eodev Com

Acaba Su Anda Saat Kac Ppt Indir

Acaba Su Anda Saat Kac Ppt Indir

5 Tane Ceyrek Saat Kac Dakikadir Eodev Com

5 Tane Ceyrek Saat Kac Dakikadir Eodev Com

Matematik Zamani Olcme Arithmetic Quiz Quizizz

Matematik Zamani Olcme Arithmetic Quiz Quizizz

3 Sinif Saatler Konu Anlatimi Matematik Ogretmenleri

3 Sinif Saatler Konu Anlatimi Matematik Ogretmenleri

Zaman Olculeri Fun Quiz Quizizz

Zaman Olculeri Fun Quiz Quizizz

3 Uarim Sat Kas Nakika

3 Uarim Sat Kas Nakika

3 Sinif Matematik Zaman Olculeri Konu Anlatimi Matematik Vadisi

3 Sinif Matematik Zaman Olculeri Konu Anlatimi Matematik Vadisi

Asagidaki Zaman Sorularini Cozebilirmisiniz Eodev Com

Asagidaki Zaman Sorularini Cozebilirmisiniz Eodev Com

2 Sinif Zamani Olcme Etkinligi Worksheet

2 Sinif Zamani Olcme Etkinligi Worksheet

Pin By Arzu On Egitim In 2020 Math School Books

Pin By Arzu On Egitim In 2020 Math School Books

3 Sinif Matematik Fasikul 9 By Gundogdu E Library E Kutuphane Issuu

3 Sinif Matematik Fasikul 9 By Gundogdu E Library E Kutuphane Issuu

3 Sinif Saatler Konu Anlatimi Matematik Ogretmenleri

3 Sinif Saatler Konu Anlatimi Matematik Ogretmenleri

Lutfen Acil Cevaplayin Lutfen Eodev Com

Lutfen Acil Cevaplayin Lutfen Eodev Com

3 Sinif Tam Yarim Ve Ceyrek Saatleri Okuma Youtube

3 Sinif Tam Yarim Ve Ceyrek Saatleri Okuma Youtube

Acaba Su Anda Saat Kac Ppt Indir

Acaba Su Anda Saat Kac Ppt Indir

2 Sinif Matematik Saat Problemleri Matematik Ogretmenleri

2 Sinif Matematik Saat Problemleri Matematik Ogretmenleri

5 Sa Na F 10 Hafta Doc

5 Sa Na F 10 Hafta Doc

Ceyrek Saat Kac Dakikadir 2 Sinif Matematikzamani Olcme Temasi Sorusu Soru Bankasi Sinif Ogretmeniyiz Biz Sinif Ogretmenlerinin Kaynak Sitesi Http Www Sinifogretmeniyiz Biz

Ceyrek Saat Kac Dakikadir 2 Sinif Matematikzamani Olcme Temasi Sorusu Soru Bankasi Sinif Ogretmeniyiz Biz Sinif Ogretmenlerinin Kaynak Sitesi Http Www Sinifogretmeniyiz Biz

Zamani Olcme Mathematics Quiz Quizizz

Zamani Olcme Mathematics Quiz Quizizz

Source : pinterest.com